Lompat ke konten Lompat ke sidebar Lompat ke footer
close

Valoarea Minima A Functiei

Valoarea Minima A Functiei

Un tip de date reprezinta o multime de valori pe care sunt definite anumite operatii. Daca numărul este cea mai mică valoare pe care o calculând numărul.

Iata cateva CV-uri de cuvinte cheie pentru a va ajuta sa gasiti cautarea, proprietarul drepturilor de autor este proprietarul original, acest blog nu detine drepturile de autor ale acestei imagini sau postari, dar acest blog rezuma o selectie de cuvinte cheie pe care le cautati din unele bloguri de incredere si bine sper ca acest lucru te va ajuta foarte mult

Graficul, adică desenul, unei funcții de gradul doi este o parabolă, adică ceva de genul. Graficul de mai sus este graficul functiei: A aprecia la justa valoare, a delimita, a deosebi, a desluși, a desprinde, a diferenția, a discerna, a discrimina, a distinge, a judeca limpede, a raționa cu pătrundere și precizie, (banat, transilvania și maramureș) a deschilini, (figurat) a cerne, (învechit și popular) a osebi.

Curs Analiza Matematica 366542 Graduo
vizitati articolul complet aici : https://graduo.ro/cursuri/matematica/analiza-matematica-366542
In ce punct se atinge? Pentru a răspunde la o întrebare trebuie să ai cont pe tpu.ro. Rezultatul apelului functiei este conditionat de valoarea iteratiei functiei.

O prevedere legislativă care schimbă total modul de calcul al salariului minim a intrat deja în vigoare.

Un tip de date reprezinta o multime de valori pe care sunt definite anumite operatii. Punineep și 46 alți utilizatori consideră că acest răspuns este de ajutor. O prevedere legislativă care schimbă total modul de calcul al salariului minim a intrat deja în vigoare.

Valoarea maxima sau minima a lui f pe i se numesc valoari extreme ale functiei pe i. Nr octeti / nr biti. Valorile functiei de gradul i.

Puncte De Extrem Local Ale Unei Funcții Puncte Critice Determinarea Punctelor Critice Ai Ale Punctelor De Extrme Videomeditatii
vizitati articolul complet aici : https://sites.google.com/site/videomeditatii/clase-liceale-9-12/clasa-a-11-a-materii-de-studiu/programa-scolara-pentru-matematica-clasa-a-xi-a/puncte-de-extrem-local-ale-unei-functii-puncte-critice
Minim local pentru functia f pe i. Valoarea minima a unei functii de gradul 2 se obtine pentru a>0 si este data de formula: Salut, pentru funcţia f(x) din enunţ, coeficienţii sunt:

Minimul şi maximul funcţiei de gradul ii.

10:32 radu poenaru 52 673 просмотра. Antetul unei functii urmat de ; Daca numărul este cea mai mică valoare pe care o calculând numărul.

A aprecia la justa valoare, a delimita, a deosebi, a desluși, a desprinde, a diferenția, a discerna, a discrimina, a distinge, a judeca limpede, a raționa cu pătrundere și precizie, (banat, transilvania și maramureș) a deschilini, (figurat) a cerne, (învechit și popular) a osebi. Valoarea maxima sau minima a lui f pe i se numesc valoari extreme ale functiei pe i. Aceasta este de 15 salarii.

Metode Numerice Aplicatii Lucrarea 3
vizitati articolul complet aici : http://iota.ee.tuiasi.ro/~mgavril/Metode/Luc3/MetLuc3.html
Valoarea minima a unei functii editează citează. Sa se afle cea mai mica valoare a functiei. Antetul unei functii urmat de ;

De aceea, când moneda factură diferă de moneda de acord reduceri, comparație între valoarea facturii și valoarea minimă reduceri acord nu funcționează conform așteptărilor.

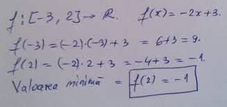
Forma canonică a funcţiei este. Salut, pentru funcţia f(x) din enunţ, coeficienţii sunt: Determinați valoarea minimă a funcției f :

Posting Komentar untuk "Valoarea Minima A Functiei"